각 그래프의 각 정점을 방문하는 그래프 순회(Graph Traversals)에는 크게 깊이 우선 탐색(Depth-First Search) 와 너비 우선 탐색(Breadth-First Search) 의 두 가지 알고리즘이 있습니다.
- DFS는 주로 스택이나 재귀로 구현하고, 백트래킹을 통해 효용이 뛰어납니다.
- 코딩 테스트 대부분의 그래프 탐색은 DFS로 구현하게 된다고 합니다.
- BFS는 주로 큐로 구현하며, 그래프의 최단 경로를 구하는 문제에 사용됩니다.
- 다익스트라 알고리즘 등
탐색할 그래프의 예시 형태
graph = {
1: [2, 3, 4],
2: [5],
3: [5],
4: [],
5: [6, 7],
6: [],
7: [3],
}DFS (깊이 우선 탐색)
재귀 구조 DFS
위키피디아의 수도코드에는, 정점 v의 모든 인접 유향 간선들을 반복하라고 표기되어 있습니다. 이를 파이썬 코드로 구현해보면 다음과 같습니다.
def recursive_dfs(v, discovered=[]):
discovered.append(v) # v를 방문 표시
for w in graph[v]: # 노드 v와 연결된 이웃 노드들을 순회하면서 방문하지 않은 노드들이 있는지 확인
if w not in discovered:
discovered = recursive_dfs(w, discovered)
return discovered- 방문했던 정점(discovered)를 계속 누적된 결과로 만들기 위해 리턴하는 형태만 받아오도록 처리했습니다.
- 한 노드를 방문하면 그 노드의 이웃 중 아직 방문하지 않은 노드를 계속해서 들어가면서 탐색하고, 더 이상 갈 수 없을 때 다시 돌아오는 구조입니다.
위 코드에서 주의할 점은 discovered=[] 기본 인자인데, 파이썬에서 기본 인자로 변경 가능한 객체(리스트나 딕셔너리 등) 를 설정하면, 의도치 않게 함수 호출 간 값이 공유될 수 있어 문제가 발생할 수 있습니다. 그렇게 때문에 아래와 같은 방식으로 사용하면 문제를 예방할 수 있습니다.
def recursive_dfs(v, discovered=None):
if discovered is None:
discovered = []
discovered.append(v)
for w in graph[v]:
if w not in discovered:
recursive_dfs(w, discovered)
return discovered스택을 이용한 반복 구조 DFS
def iterative_dfs(start_v):
discovered = []
stack = [start_v] # 탐색 시작할 노드, 초기 스택에는 시작 노드만 넣음
while stack: # 스택이 비어있지 않다면 반복
v = stack.pop() # 스택에서 하나 꺼내서 v로 저장
if v not in discovered:
discovered.append(v) # 방문하지 않은 v라면 방문 처리
for w in graph[v]:
stack.append(w) # 인접 노드들을 모두 스택에 추가
return discovered- 실행 속도는 재귀에 비해 더 빠른 편입니다.
- 앞선 재귀 DFS는 사전식 순서로 방문했는데, 반복 DFS는 역순으로 방문했습니다.
- 스택으로 구현하다 보니 가장 마지막에 삽입된 노드부터 꺼내서 반복하게 되고 이 경우 인접 노드에 가장 최근에 담긴 노드, 즉 가장 마지막부터 방문하기 때문입니다.
BFS (너비 우선 탐색)
큐를 이용한 반복 구조 BFS
스택을 이용하는 DFS와 달리 BFS는 큐를 이용합니다.
모든 인접 간선을 추출하고 도착점인 정점을 큐에 삽입하는 구조입니다.
def iterative_bfs(start_v):
discovered = [start_v] # 시작 노드는 방문했으므로 넣고 시작
queue = [start_v]
while queue: # 큐가 빌 때까지 반복
v = queue.pop(0)
for w in graph[v]:
if w not in discovered:
discovered.append(w) # 방문하지 않은 w라면 방문 처리
queue.append(w) # 인접 노드를 큐에 추가
return discovered최적화를 위해 데크 같은 자료형을 사용하는 것도 고민해볼 수 있겠습니다.
재귀를 이용한 BFS?
- BFS는 재귀로 동작하지 않습니다.
- 큐를 활용한 반복 구조로만 구현이 가능하기 때문에, 코딩 테스트 풀이에서 혼동해서는 안 되겠습니.
스택 버전 DFS와 큐 버전 BFS의 차이
# DFS: Stack을 사용한 반복 깊이 우선 탐색
def iterative_dfs(start_v):
discovered = []
stack = [start_v]
while stack:
v = stack.pop() # ✅ 마지막에 넣은 노드를 꺼냄
if v not in discovered:
discovered.append(v) # 방문 처리
for w in graph[v]:
stack.append(w) # 인접 노드를 스택에 추가
return discovered# BFS: Queue를 사용한 반복 너비 우선 탐색
def iterative_bfs(start_v):
discovered = [start_v]
queue = [start_v]
while queue:
v = queue.pop(0) # ✅ 처음에 넣은 노드를 꺼냄
for w in graph[v]:
if w not in discovered:
discovered.append(w) # 방문 처리
queue.append(w) # 인접 노드를 큐에 추가
return discovered| 항목 | DFS (Stack) | BFS (Queue) |
|---|---|---|
| 자료구조 | stack = [start_v] |
queue = [start_v] |
| 꺼내는 방식 | v = stack.pop() → 마지막 요소 |
v = queue.pop(0) → 첫 번째 요소 |
| 넣는 대상 | 인접 노드 w를 뒤에서부터 스택에 쌓음 |
인접 노드 w를 순서대로 큐에 넣음 |
| 탐색 순서 | 깊게, 깊게 들어감 → 끝까지 갔다가 되돌아옴 | 넓게, 가까운 노드부터 모두 보고 나중에 멀리 감 |
| 방문 순서 예시 | 1 → 4 → 3 → 5 → 7 → 6 → 2 (깊이 우선) |
1 → 2 → 3 → 4 → 5 → 6 → 7 (너비 우선) |
- DFS는 "가장 최근에 추가된 노드"부터 탐색
→ 스택(LIFO)이기 때문 - BFS는 "가장 먼저 추가된 노드"부터 탐색
→ 큐(FIFO)이기 때문
그래서 코드는 거의 똑같은 구조지만, pop의 위치 차이(끝 vs 앞) 때문에 완전히 다른 탐색 결과가 나오게 됩니다.
백트래킹
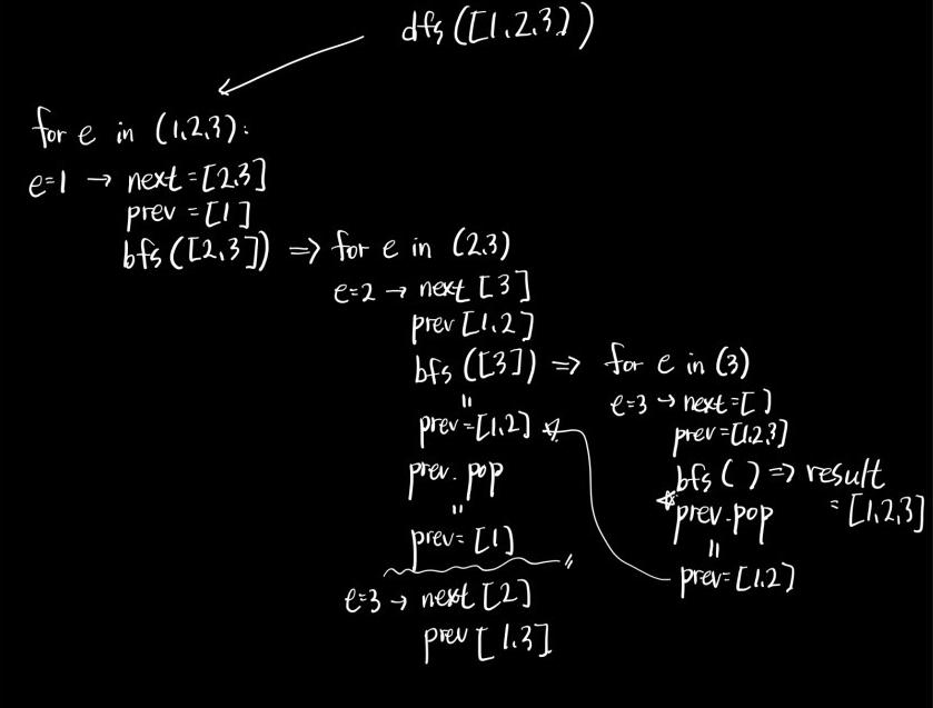
백트래킹(Backtracking) 은 해결책에 대한 후보를 구축해 나아가다 가능성이 없다고 판단되는 즉시 후보를 포기하고 정답을 찾아 돌아가는 범용적인 알고리즘으로, 제약 충족 문제(Constraint Satisfaction Problems)에 특히 유용합니다.
- 백트래킹은 DFS와 같은 방식으로 탐색하는 모든 방법을 뜻하며, DFS(깊이 우선 탐색) 는 백트래킹의 골격을 이루는 알고리즘입니다.
- 백트래킹은 주로 재귀 로 구현하며, 모두 DFS의 범주에 속합니다.
- 브루트 포스와 유사하지만, 가능성이 없는 경우 후보를 포기(트리의 가지치기, Prunning)한다는 점에서 좀 더 효율적이라고 할 수 있겠습니다.












